优雅地绘制共振式
高中学习的共振式的定义是:同等正确的路易斯结构式。而“正确的路易斯结构式”的定义是:
- 电子总数正确;
- 每个原子符合八隅规则,除了氢有一对电子,铝、硼有三对,第三周期以后可以有四对以上;
- 形式电荷最少,且负电位于电负性最大的原子上。
用这些法则的确可以画出一些共振结构式,但算不上是系统的方法论。不过高中的共振结构式要求本就不高,可能上限就是硝酸根的共振:

这种高度对称的结构,一眼就可以看出来对应的共振式。但大多数时候,共振不是那么显然。比如要写出这个的所有共振结构:

用凑的方法就有些心有余而力不足。
而且“同等正确”的这个要求,也是值得商榷的。按照课本的要求,这个东西是不存在共振结构的:

但这样就不能解释为何它有一个比类似结构的分子都大的偶极矩。
因此,我们可以先给出一些系统的生成共振结构的方法论。主要有这么几条:
- 如果有缺电子原子 A 和一个带孤对电子的原子 B 相连,则孤对电子可以变成一对 A-B 成键电子:

- 如果有缺电子原子 A 临近双键 B=C,则可以把双键转移到 A 上,使 C 缺电子:

- 如果有孤对电子原子 A 临近双键 B=C,则可以把孤对电子沿双键推到另一端的原子 C 上:

- 芳香环中的电子可以转动:

- 双键本身也可以被推到一端的原子上:

注意,它们生成的并不是像硝酸根那样平凡的完全等价的结构,而是可能有贡献度大小之分的结构。但那些贡献度比较小的结构也不能被忽略,而它们往往决定了化合物的性质。比如在上例中的杯烯 Calicene:

它看似是个非极性的分子,实际上却有着很大的偶极矩。这就是因为它有如下共振:

这样产生了电荷分离,理论上应该使得结构能量升高,但实际上这样生成了环戊二烯阴离子和环丙烯阳离子两个部分,两者都是芳香的体系(分别有 6 个和 2 个 π 电子),因此它的能量反而不高,对最终分子形态贡献很大。结论是,杯烯中存在明显的正电中心和负电中心,表现为一个大的偶极矩。
从这个例子我们可以看出,评价一个路易斯结构的好坏不能仅仅根据几条规则,更要看它的整体能量,尤其是有没有可能生成芳香体系。开头所给出的规则只是在大多数情况下能使得分子能量最低。
再比如,环戊二烯酮:

同样由于双键被推到一端之后,生成了一个反芳香的分子,使得整个体系非常不稳定,因此它无法被制备出来。这种电荷分离的结构一般会被忽视,但此处它对分子化学性质有很大影响。(顺便,有很多 naïve 的学生会在合成路径设计中用环戊二烯酮作底物,而不知道它们根本不存在)
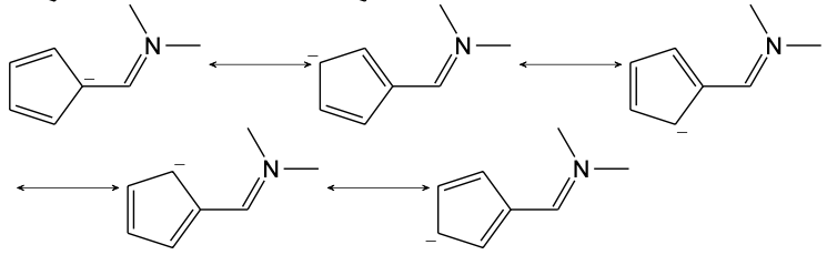
最后,以 6-(二甲氨基)富烯的共振来说明这个方法论的实用。
第一步,N 上的孤对电子靠近一个双键,可以一路推到另一端的碳上:

接下来,就是快乐的芳香环转圈时间:

因此它一共有六个共振结构,成一个超大的离域体系。
参考资料
The Art of Writing Reasonable Organic Reaction Mechanisms. 2nd Edition. Robert B. Grossman. Springer (2003).
👆 没错,我只是这本神书的搬运工