维生素图鉴
note
本文由全能的 Lynn 友情撰写,作为《氨基酸图鉴》的后继,供各位参与生物竞赛的读者们参考。
维生素 (vitamins) 是一类与人的新陈代谢有关的有机物。由于维生素曾被认为是一类胺类物质,因此名字由表示“生命”的 vit- 和胺类 amine 构成。维生素在体内的作用各不相同,维生素 A 调节细胞的生长和分裂,B 族维生素往往作为辅酶存在,而维生素 C 和 E 则作为抗氧化剂。随着各种维生素不断被发现,人们开始意识到维生素的营养价值和商业价值,维生素的数量出现了井喷之势。经过学界的规范,目前被公认为维生素的化合物固定在了 13 种(有些人会将胆碱也归为维生素,这样就是 14 种)。如果一种化合物被称为维生素,它应当满足以下四个条件:
- 外源性:人体无法合成,或合成量不足以满足生理所需。
- 微量性:只需要极少量便可发挥作用。
- 调节性:能够对人体新陈代谢起到调节作用。
- 特异性:缺乏某种维生素将呈现特有的症状。
根据溶解性,维生素又被分为脂溶性维生素和水溶性维生素。水溶性维生素包括 B 族维生素和维生素 C;其余则都为脂溶性维生素。其中,脂溶性维生素会被身体储存,因而过量的摄入会引发中毒症状。
值得注意的是,一种维生素并不对应于一个特定的分子,而是一类结构相似的分子的总称,它们互称为同效维生素 (vitamers)。本文将会选取每类维生素中的一个分子作为代表,介绍的内容包括:
- 生物功能;
- 摄入途径;
- 缺乏症状与过量症状。
维生素 A

维生素 A 包括了视黄醇 (retinol)、视黄醛 (retinal)、视黄酸 (retinoic acid) 以及多种类胡萝卜素 (carotene)(其中我们最熟悉的是 β-胡萝卜素,也就是视黄醇的二聚体)。由于从食物中摄取的视黄醇不稳定,因此它在细胞中又以视黄酯 (retinyl ester) 的形式储存。虽然维生素 A 的形式多种多样,但它们都有一个称为视黄基的活性基团。
维生素 A 在人体各系统都有作用,而其中最主要的是在视网膜中。11-顺式视黄醛与视蛋白结合,在视杆细胞中形成视紫质。视紫质对暗光敏感,在感光后,11-顺式视黄醛发生异构反应变为全反式视黄醛,并与视蛋白分离,产生电信号。此后,全反式视黄醛经历一系列异构过程,重新转化为 11-顺式视黄醛,并合成视紫质。
视黄醛还可以被氧化成视黄酸,它与视黄酸受体结合,能够调节基因转录。
维生素 A 还能够促进 T 细胞的增殖和编译,调节造血干细胞的激活和休眠状态。此外,它还能够维持皮肤的健康。
维生素 A 的缺乏会导致 11-顺式视黄醛的含量降低,无法合成足够的视紫质,引发夜盲症。过量的维生素 A 会导致恶心、易怒与精神状态的改变。过量的 β-胡萝卜素会导致胡萝卜素在皮肤的沉着,使得肤色变黄。
B 族维生素
虽然被归于一类,但 B 族维生素之间的化学结构迥异。根据来源,它们又被分为若干族。B 族维生素广泛地存在于肉、蛋、奶等食品中。因此纯素食者们可能会缺乏其中的几种。
维生素 B1

维生素 B1 是一类硫胺 (Thiamine),但它们在人体内往往以羟基被磷酸化的形式发挥作用,如焦磷酸硫胺 (TPP) 是糖类和氨基酸在代谢过程中的辅酶,酵母的发酵也需要 TPP 来进行。
虽然硫胺在生物中广泛地发挥作用,但动物无法合成硫胺,因此必须从食物中获得它。硫胺的食物来源主要是谷物的麸皮和动物肝脏。
对谷物的精制会导致其中的硫胺被去除,因此缺乏硫胺导致的脚气病曾经在亚洲长期流行。脚气病的症状包括了体重减轻、感知减弱、心律不齐、下肢水肿等。(然而并不一定包括脚气本身)不同种类的脚气病分别会影响周围神经系统、心血管、婴儿以及胃肠道。通常,脚气病患者在摄入维生素 B1 之后就能迅速缓解症状。除了长期的精制饮食,酗酒、透析、慢性腹泻和高剂量的利尿剂也会导致脚气病。
维生素 B2

维生素 B2 又称核黄素 (riboflavin),它的得名来源于分子中的核糖醇(核糖醇是一种五元糖,它形成了核黄素的氮原子上连的那条侧链)。
核黄素在体内往往以黄素核苷酸 (FMN) 和黄素腺嘌呤二核苷酸 (FAD) 的形式发挥作用,它们参与了细胞呼吸中的电子传递链,丙酮酸、支链氨基酸和脂肪酸的氧化,以及维生素 A、B3 和 B6 的代谢。
核黄素在谷物的精制中会被去除;因此,许多国家要求在谷物中加入额外的核黄素。在服用了维生素 B2 后,人的尿液可能会变为亮黄色,这是因为维生素 B2 在水中的溶解度不及其他 B 族维生素。这也导致维生素 B2 的过量很难发生。
维生素 B2 的缺乏会导致口角炎、皮疹、贫血等症状,而孕期缺乏维生素 B2 会导致胎儿的心脏和肢体发育不良。缺乏维生素 B2 导致的炎症和糙皮病的症状非常类似,但它的症状仅限于头面部,不会扩散到全身。
维生素 B3

维生素 B3 即烟酸 (niacin)。
在体内,烟酸会被转换为烟酰胺,烟酰胺则被用于合成 NAD+ 和 NADP+ 这两种辅酶,参与脂质代谢、细胞呼吸等过程。人体也会通过色氨酸来合成烟酸,大约 60 mg 色氨酸能在维生素 B1、B2 和 B6 的参与下被转化成 1 mg 烟酸。
服用烟酸作为营养补充剂会导致面部皮肤潮红等副作用,而服用烟酰胺则不会导致这些症状。烟酰胺在化妆品行业也有应用,这是因为它可以抑制皮脂的分泌,从而改善痤疮症状。
缺乏烟酸或色氨酸会导致 I 型糙皮病,而人体无法利用烟酸会导致 II 型糙皮病。糙皮病的症状包括皮肤炎症、腹泻、浮肿、痴呆、攻击性等症状。糙皮病的发病机理尚不明确,可能是由于细胞呼吸被抑制、色氨酸代谢产生了有毒的代谢物、DNA 无法进行修复导致基因表达错误等。
维生素 B5

维生素 B5 又称泛酸 (Pantothenic acid),这是因为它几乎在每一种食物中都存在。因此,泛酸缺乏症非常罕见,以至于几乎没有关于它的研究和病例。
泛酸被用于合成辅酶 A (CoA),这种辅酶参与了脂肪酸的合成和氧化,以及三羧酸循环中丙酮酸的氧化。
维生素 B6

维生素 B6 的主要活性形式是磷酸吡哆醛 (Pyridoxal phosphate)。
它在上百种酶反应中作为辅酶。它参与了几种主要的神经递质的合成,包括 5-羟色胺、多巴胺、肾上腺素、去甲肾上腺素和 γ-氨基丁酸;参与了氨基酸转氨的过程(可见氨基酸图鉴);使被储存的硒能够被人体利用;参与了色氨酸向烟酸的转换。此外,它还参与了糖原的生成与鞘脂的合成。
缺乏维生素 B6 会导致脂溢性皮炎、溃疡、舌炎和唇炎。此外,鞘氨醇无法合成会导致嗜睡和神志不清。
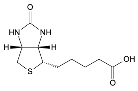
维生素 B7

维生素 B7 又称生物素 (Biotin)。
它是五种羧化酶的辅酶,这些羧化酶参与了碳水化合物的消化、脂肪酸的合成以及糖异生。此外,组蛋白与生物素的结合提高了染色质的稳定性,并影响了基因的表达。
生的鸡蛋白含有卵白素,这种蛋白质会与生物素结合,使其无法被吸收。生物素的缺乏还可能来自于生物素酶的缺乏,这会导致人体无法回收生物素继续利用。缺乏生物素会导致指甲变薄、脱发、结膜炎、皮疹和神经系统的一些症状。
维生素 B9

维生素 B9 即叶酸 (folic acid),得名于它在绿叶蔬菜中的高含量。
缺乏叶酸会导致巨幼红细胞性贫血,这种疾病的症状是红细胞发育不良,导致呕吐、腹泻、舌炎、脾肿大等症状。对于胎儿来说,叶酸的主要作用是促进神经管的发育,神经管会逐渐发育为胎儿的中枢神经系统。缺乏叶酸会导致脊柱裂、无脑畸形、脑膨出等症状,这些症状常常是致命的。
在研究发现叶酸与神经管畸形的关系后,各国都推行了向孕妇提供叶酸营养补充剂。目前,我国向孕妇免费发放叶酸。除了预防神经管缺陷外,叶酸还能够预防唇腭裂。
维生素 B12

维生素 B12 是结构最复杂的维生素,它包含了一组含钴化合物,主要形式是氰钴胺 (cyanocobalamin)。
维生素 B12 在体内参与了琥珀酰-辅酶 A 的合成,它随后进入了三羧酸循环。此外,维生素 B12 还参与了同型半胱氨酸向甲硫氨酸的转化。
人体内的肠道菌能够发酵产生维生素 B12,但由于这些菌群位于大肠,无法进行吸收。维生素 B12 的饮食来源包括了海藻、米糠、大豆、发酵豆制品等。
缺乏维生素 B12 会导致恶性贫血、舌炎、心脏功能减退、电击感、眼睑抽动、偏头痛等症状,并常伴随巨幼红细胞性贫血发生。
维生素 C

维生素 C 可能是我们最熟悉的一种维生素:它是第一种实现人工合成的维生素,维生素 C 片在大量的工业生产中甚至成为了药品智商税的代名词。我们往往在感冒流行期泡上一杯维生素 C 泡腾片;水果商也总是乐此不疲地在水果的包装上标上维生素 C 的含量,甚至连软糖也要加点维生素 C 来提高售价。实际上,维生素 C 除了像它的别名“抗坏血酸” (ascorbic acid) 所说的能防治坏血病,对感冒并不能起到什么作用。
维生素 C 的活性在于其抗坏血酸离子。它对胶原蛋白的合成起到了重要作用。
维生素 C 的另一大作用是作为抗氧化剂。维生素 C 会在酶促反应中提供电子,自身则被氧化为脱氢抗坏血酸。高浓度的维生素 C 会进入免疫细胞中,促进淋巴细胞的增殖。
由于维生素 C 是一种水溶性维生素,人体无法长期地储存它。维生素 C 的主要来源是植物,如柑橘科的植物往往含有大量的维生素 C(也因此永远在各路水果排行中处于碾压地位)。实际上,多吃几个橘子比起殚精竭虑地寻找维生素 C 含量更高的水果似乎更有用。
维生素 C 的缺乏会导致胶原蛋白合成的不稳定,从而产生皮下出血、牙齿脱落、伤口化脓、骨骼异常等坏血病的症状。
维生素 D

维生素 D 是一类类固醇衍生物,它最常见的形式是维生素 D2(麦角钙化醇 Ergocalciferol)和维生素 D3(胆钙化醇 cholecalciferol),其中胆钙化醇可以由人体在接受紫外线照射后合成。虽然维生素 D 能被人体合成,但由于不同人群接受的日照量不同,所以仍然被列为维生素。胆钙化醇在肝脏内转化为骨化二醇,再于肾脏内转化为骨化三醇,这是维生素 D 在人体内主要的活性形式。
作为一种激素,骨化三醇能够促进肠道对镁、钙和磷酸盐的吸收。此外,它也会影响免疫系统。
幼儿缺乏维生素 D 会导致佝偻病。这种疾病会导致患儿的双腿弯曲、发育速度减缓、骨骼疼痛、前额突出。其并发症还包括骨折、肌肉痉挛、脊椎弯曲和智力发育迟缓。成人缺乏维生素 D 则会导致骨质疏松,患者骨骼内的钙质会不断流失到血液中,导致骨密度下降,进而导致骨折几率增高。
维生素 D 的过量会导致高钙血症,引发钙在软组织与器官的堆积,导致器官损伤。维生素 D 的过量往往来自于过量的补充剂,而过量的光照不会引发高钙血症。
维生素 E

维生素 E 的同效维生素包括了 4 种生育酚和 4 种生育三烯酚,它们在苯甲醇环上甲基的数量和位置上有分别。维生素 E 的得名最早来自于它被发现对大鼠的繁殖起到作用。作为一种脂溶性抗氧化剂,维生素 E 通过提供氢原子来清除自由基。它的脂溶性也使它能够融入细胞膜中,保护细胞膜的完整性。此外,维生素 E 还可以保护维生素 A 不受氧化破坏、防止血小板过度凝集、减少空气污染对肺部的破坏等。神经递质的产生会伴随大量自由基的产生,因此维生素 E 也是相当必要的。
维生素 E 的缺乏在人类中非常罕见,主要来源于脂肪吸收或代谢的异常。维生素 E 的缺乏会导致神经系统的病变,这可能是因为髓磷脂的结构改变,导致电信号无法正常传导。此外,维生素 E 缺乏还会导致溶血性贫血。过量的维生素 E 同样会导致病变,如心血管疾病发病几率增高、血脂过高、影响维生素 A 和维生素 K 的利用等。
维生素 K

维生素 K 往往是一种被人遗忘的维生素,它是一类萘醌的衍生物。维生素 K 又能细分成维生素 K1(叶绿醌 phytomenadione)和维生素 K2(甲萘醌 menadione)。
维生素 K 参与 γ-羧基谷氨酸在 γ 位置的羧化作用,因此会影响含有它的一些蛋白质的活性,从而影响凝血因子的产生以及骨质的新陈代谢。
维生素 K1 由于参与光合作用,在绿叶蔬菜中大量存在,其中又以菠菜为最。维生素 K2 则可以在肉、蛋、奶中找到。
缺乏维生素 K 会导致凝血功能障碍,引起内出血。除了婴幼儿,大部分人的饮食并不缺乏维生素 K,因此大多数病症来自于维生素 K 的吸收功能障碍,比如同时服用一些拮抗物。
你可能注意到了,我们介绍的 13 种维生素是:A, B1, B2, B3, B5, B6, B7, B9, B12, C, D, E, K。那么 B4, B8, B9, F, G 在哪里?实际上,它们来自于生物化学的原始时代,那个维生素定义还非常随性的时候。腺嘌呤 (adenine)、胆碱 (choline)、肉毒碱 (carnitine) 都曾被称为维生素 B4,但经过严格定义后,被排除出了维生素之列。同样地,维生素 B8 一磷酸腺苷 (AMP) 以及其他的许多 B 族维生素都被剔除了。维生素 F 是必需脂肪,现在已不被称为维生素。维生素 G 和 H 现在被叫做 B2 和 B7。
总结一下,维生素是个大袋子,什么都能往里装。它们功能多样,摄入途径不同,但都对人体的正常工作起了至关重要的作用。