辣 鸡 化学题 | 一切为了蜜蜂
在某个平行时空中,还有四天就是英国化学奥赛了......但很不幸,在我们的时空,这并没有发生。所以,我花了半个小时,研究了一道 辣 鸡 化学题。
由于有机化学还是初学,只对邢其毅的《基础有机化学》(大本)比较熟悉,全文的参考都来自于此。《有机反应机理的书写艺术》(Art)也在看,但还比较陌生......很多机理比较凌乱,跳了加质子、脱质子之类的小步骤,但希望没有大错误。
本题来自英国化学奥赛 UKChO2019 第 4 题。先感受一下:



英奥赛近年来在不停地尝试创新题目,更加综合,更考察素养,更贴合时事;但结果却是越来越难......想想将近十年前的题,还是这样的:

2019 年的有机大题套路相当多变,有一些看起来很想当然的反应,实际上的确存在;还有一些,则是如果题没有读清楚就直接爆炸。我们每个问题分别分析。
(a) 求噻虫嗪的化学式。分子式已经给出,看图说话即可,不可多得的送分题。C8H10ClN5O3S

(b) 首先求甘油 (glycerol) 和三氯氧磷 (phosphorus oxychloride) 反应产物。猜都能猜到, 是氯化羟基的,变成 1,2,3-三氯丙烷。同样没什么难度。(能够方便地卤代羟基的还有 PX5, PX3, SOCl2 等;大本说,二氯亚砜由于发生的是 SNi 反应,并不会翻转)参考:大本 P288
A.

第二个,乍看去考的是取代与消除的竞争反应;但细品,既然生成三个异构体,那就只有消除了(三个取代产物也行;但到了下一问就说不过去了;更何况题目中说 CaO 是一种碱,也算提示不要往亲核试剂上想)。A 的完整结构式长这样:

显然,消除的是 Cl1 与 H2 或者 H4 与 Cl5,分别生成 2,3-二氯丙烯与 1,3-二氯丙烯。B'与 B''几何异构,而细想 2,3-二氯丙烯是没有顺反异构体的,那就只剩顺-1,3-二氯丙烯和反-1,3-二氯丙烯了。顺式占绝大多数,因为对交叉是优势构象。参考:大本 P252
B.

B'.

B''.

(什么扎伊采夫规则?什么产率?都不要想了,出题人说的永远是对的)

(c) 也是送分题,不会共振规则也能蒙出来。


(d) 从此开始,就到处都是坑了……硝酸中的亲电试剂,硝酸本身怎么看都不像能接受孤对电子的样子。

为了从中搞出一个亲电试剂,不得不考虑一些正离子,比如硝酰(氢离子、氧鎓离子这种就不用说了)。拔掉羟基后,NO2+ 是肯定会共振中和电荷的。所以,答案是:
(这是一个极强的亲电试剂,甚至还有一整本书来描述它的作用原理)
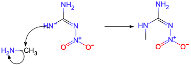
(e) 胍 (guanidine) 当亲核试剂使的话,任何一个氮上的孤对电子都可以进攻硝酰,所以答案不止一个。为了和最后产物的结构一致,选择这种路径。
E.

接下来加入甲胺 (CH3NH2, methylamine),不晓得干什么的,大概猜到是甲基化用的;我们目前处于最后产物的中下方,注意到最左边的氮在产物中同一位置多了一个甲基,考虑是不是此时要添一个甲基,不然就再无机会。(口胡 ×1)为什么不在对称的氮上也加甲基?可以和产物对比,发现两环连接处只有一个碳,容不下多出的一个甲基。
F.

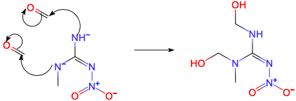
然后加入了甲醛和碳酸氢钠......在碳酸氢钠上纠结了很久,究竟是干什么的?大概是当碱用的吧。还有一个人名反应——曼尼希 (Mannich) 反应——和这个有点相像。但在那里,胺基进攻甲醛生成醇后,还会进一步在酸的作用下脱水。那这里的碱,大概就是防止这一步发生了。所以,是胺基亲核进攻甲醛生成醇的过程。(口胡 ×2)同时,G 的化学式告诉我们,多了 2 个碳和 2 个氧,隐隐感到此处需要在两个对称的氮上同时操作。
G.

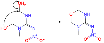
最后醇醇缩合成内醚,基本操作。
H.

这样,最后一步简单的 SN2,氯离去,就得到了产物。基本可以确定,口胡的内容都是正确的。
但不止于此,本题还提供了一种替代方案。

(f) 开始的第一问便造成了暴击——溴究竟是如何与丙醛反应的?我以为是溴加成羰基的双键,但显然根据化学式,I 应该是溴代产物;结果翻阅大本,发现了这么一个机理:参考:大本 P480
I.

原来是羰基的活泼的 α-氢发生取代......而且如果此空填错,基本就没有做对的可能性了。
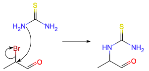
再往后,加入了硫脲 (thiourea) (这题目真是百花齐放),看分子式可以知道是一个简单的取代;但怎么取代就得三思。

Naïve!
第二个坑又紧随其后——如果像这么取代,硫就会在环的外面了,没法进环。为了让它进环,只能这样互变一下,让硫去进攻:
J.

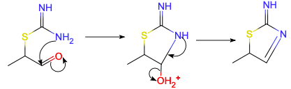
(g) 盲猜从 J 到 K 的脱水是胺基与羰基氧的脱水,而且看起来很像话:

本质上是羰基被胺基亲核加成的机理,再脱水生成席夫碱 (Schiff base,即亚胺)。但 K 还有一个要求,要有芳香性;现在的环上有一个 sp3 碳,无论如何都不会芳香,因此再略一互变。
K.

有了两个双键和一个硫原子,正好六个 π 电子,符合休克尔 (Hückel) 规则。
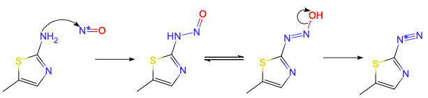
(h) 随后加入的盐酸与亚硝酸钠,就更加陌生了。这个反应,如果没有接触过,就绝对想不到;但只要晓得,识别度还是很高的,尤其是在后续加热有氮气逸出的情况下:芳香一级胺 Ar-NH2 的叠氮化 (Diazotization) 反应。其中要用到亲电试剂 NO+ ,产生原理和前文的 NO2+ 类似。

L.

然后再加热,氮气逸出。
M.

(如此大费周章,只为了把胺基换成氯......还不如 RMB 置换法)
最后一步加入的N-氯代丁二酰亚胺是一种氯化剂。
能将芳醛氯化而芳环不受影响。在苯胺、N-烷基苯胺的氯代(邻位为主),a-氨基吡啶氯代,a-苯硫基酰胺脱氢氯代和降解氯化,以及环戊二烯单氯化反应中都比用氯气、次氯酸叔丁酯、氯胺 T 等的产率更高。作为氧化剂,可将二醇氧化成内酯,伯(仲)醇氧化为醛(酮),B-羟基酮氧化成 B-二酮等。在酸性条件下能选择性断裂色氨酸形成的肽键。也可用于烯丙胺、B,R-不饱和氨基酸极其衍生物的合成。
百度百科相关词条
本段可谓是相当难了,很容易被剃光头;而最后一段难度不逊于此。主要原因,在于是史上(至少是从 2003 年起)首次考察自由基反应机理(真正考机理的题目本来就不多);而在此之前,离子型反应占据了 99%的内容,再加上一些狄尔斯-阿尔德 (Diels-Alder) 之类的极少数协同反应。自由基说起来只是引发-增长-终止三步,但可以做不少文章。

(i) & (j) 由于涉及循环,从何处下手就很成问题。按照 Art 的观点,研究机理的第一步一定是为原子标号。

由于反应在氯气中进行,我们大胆假设 Z 是 Cl·,再来小心求证。注意题中说 Z 和 C 中的硫氰根部分发生化合,进一步限制了可能的反应。既然要成 C2-Cl 这根键,现在又需要 S, C, N 中任何一个和 Cl 化合,那此时不待更待何时?
V.

接着环化——那便是 S1-C5 键了。正好 S1 现在有未成对电子,可以借这个机会把电子转移走。S 要和 C 成键,一个电子由 S 提供,还有一个从哪来?C 周围能提供电子的只有 C5-C6 π 键,所以再次均裂,把未成对电子转移到 C6 上。
W.

再检查列表——还需要加上 C6-Cl,断掉 C5-Cl。Y 到 D 是消去反应,肯定是断键;那只能抓住最后机会,在 W→Y 的时候加 C6-Cl 键了。此时,又是正好 C6 是反应中心。为了产生 Z (依照我们的假设是 Cl·),加上氯气再好不过了。典型的链增长过程。
Y.

最后的消除,并在 C4-C5 上成双键。
到此结束。
花了三千字,解释了一道三页纸的题目……涉及反应极广,主要是胺类和羰基的考察,掌握了大本的第 10、14、18 章,至少能拿 60%、70%的分数;最后的自由基反应那 20%(6'/27'),则成败都在于假设是否靠谱。