跳到主要内容

DNA中那几个碱基的故事

这是你以为的 DNA 的样子:

实际上 DNA 可能长这样:

DNA 的二级结构描述的是碱基之间的相互连接关系。我们常说 DNA 的二级结构就是碱基通过一一配对,形成一个线性的分子,但实际上可能大多数时候,事情并不是那么完美。这是为什么?

蛋白质中,氨基酸主链的肽键组成了一级结构,而主链的扭曲形成了它的二级结构,侧链间的氢键、双硫桥键等作用形成了三级结构。同样地,在 DNA 中,为了研究二级结构,我们也要先从它的一级结构——碱基间的连接关系入手。

众所周知,DNA 中存在四种碱基:腺嘌呤 (Adenine, A)、胸腺嘧啶 ( Thymine, T)、胞嘧啶 (Cytosine, C)、鸟嘌呤 (Guanine, G),其中 C 和 T 有一个环,叫嘧啶 (Pyrimidine, Py);G 和 A 有两个环,叫嘌呤 (Purine, Pu)。

沃森和克里克告诉我们,A 和 T、C 和 G 分别能用氢键配对。

这叫做沃森-克里克配对 (Watson-Crick base pair),是中学里学的配对方法,也是最常见的。沃森-克里克配对只允许碱基一一对应,因此一定能形成经典的双螺旋结构。

但是,这几个碱基看起来能建立氢键的位点很多(因为杂原子很多),这样的配对方法真的唯一吗?

沃森和克里克之后十年,卡斯特·胡斯坦 (Karst Hoogsteen) 发现了所谓的胡斯坦配对 (Hoogsteen base pair)。起初,它只是沃森-克里克配对中的嘧啶绕糖苷键转半圈,翻个面之后的构象:

两种配对中的嘌呤都是N3-C4面参与成键;沃森-克里克配对中,嘧啶用N1C6所连基团成键,在胡斯坦配对中,因为翻了个面,变成了用N7C6所连基团成键。

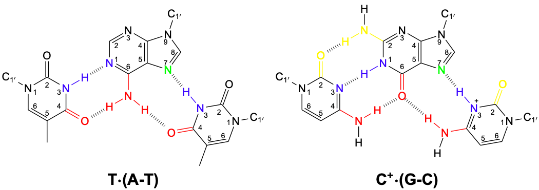
如果只是把碱基转一下,是不会影响双螺旋结构的——一一对应的碱基,仍然是一一对应。虽然胡斯坦碱基对的 C1'碳间距较窄,糖苷键角较大(从两个结构式的对比中可以感受得到),但这不影响 DNA 的宏观结构。不过实际上,因为胡斯坦配对允许在碱基的另一个侧面上成键,我们就可以把更多的碱基拧到一起。

用 Py 代表嘧啶 C/T,Pu 代表嘌呤 G/A,-代表沃森-克里克配对,·代表胡斯坦配对,那么一般在 DNA 中,是 Py-Pu 配对;我们可以再加一个碱基,变成 Pu·(Pu-Py)或 Py·(Pu-Py)。

这样,自然地,我们就可以造出三螺旋 DNA

通过在双螺旋中加入一条三链形成寡核苷酸 (Triplex-forming oligonucleotide, TFO),就可以形成一个局部的三螺旋结构。RNA 聚合酶无法正常在三螺旋上工作,因此这一段 DNA 的转录就被抑制了。这可能能被用在癌症治疗中——通过设计靶向性的 TFO 来关闭某些基因的表达。

DNA 也有可能通过核糖链条的局部翻转形成分子内三螺旋,这被称为 H-DNA。

因为这种结构不够稳定,因此未在生物体内 (in vivo) 被证实。但已经在体外 (in vitro) 通过抗体技术被观测到。

除了三聚体,胡斯坦配对甚至还允许四聚体的形成。我们可以用四个鸟嘌呤首尾相连,形成鸟嘌呤四合体 (Guanine tetrad)

这种四合体常见于 G 含量较高的 DNA 片段中。此时鸟嘌呤不再和胞嘧啶两两成键,而是在同一根链上由四个鸟嘌呤自成键。每个四聚体都是一个片状的结构,而若干个这样的片状结构叠起来,就形成了一个鸟嘌呤四联体 (Guanine quadruplex)

最右边的子图中的箭头代表核糖链的走向,不同的聚合方式可能有不同的走向,但总的结构大致相同。而这样一个“结”,在双螺旋中的样子是这样的:

它同样阻碍了 RNA 聚合酶的工作,终止了基因转录。这就是为什么在设计质粒时,往往需要控制 GC 含量,因为虽然 GC 可以带来更高的分子热稳定性,但同时也会导致更多的阻碍表达的缠结。不过 G4 在生物 DNA 中有大量非随机的分布,可见它在天然 DNA 结构中也能发挥作用。在染色体末端(端粒)常常有几个 G 四聚体,就像一条绳子两段打结,保护了末端的 DNA 结构。

鸟嘌呤可以成 G·G 键,胞嘧啶也可以成 C·C 键。

在一条 C 含量较高的核糖链上,胞嘧啶用 C·C 键相互耦合,也会形成一个缠结,叫做I-基序 (I-motif DNA)

I-基序也对 DNA 转录起了阻碍作用。但对它的研究不如对 G4 的研究充分,因此我们对它在生物体内的存在情况和实际作用并不是非常了解。

总而言之,胡斯坦配对允许了更多样的碱基配对方法,无论是三个碱基还是四个,亦或是 C·C、G·G 这样的配对,都是可行的。这样非典型的配对导致了各种各样的 DNA 二级结构,如 DNA 三螺旋、G 四聚体、I 基序等等。它们都使得 DNA 无法被正常转录。生物学家们仍然在探究它们在生物体内具体的作用。在未来,这些结构可能会被运用于癌症与其他基因相关的疾病的治疗中。

参考资料.

Daniela Rhodes, Hans J. Lipps, G-quadruplexes and their regulatory roles in biology, Nucleic Acids Research, Volume 43, Issue 18, 15 October 2015, Pages 8627–8637, doi: 10.1093/nar/gkv862

Jain, Aklank et al. “DNA triple helices: biological consequences and therapeutic potential.” Biochimie vol. 90,8 (2008): 1117-30. doi:10.1016/j.biochi.2008.02.011

Kolesnikova, Sofia, and Edward A Curtis. “Structure and Function of Multimeric G-Quadruplexes.” Molecules (Basel, Switzerland) vol. 24,17 3074. 24 Aug. 2019, doi:10.3390/molecules24173074

Nikolova, Evgenia N et al. “A historical account of Hoogsteen base-pairs in duplex DNA.” Biopolymers vol. 99,12 (2013): 955-68. doi:10.1002/bip.22334