跳到主要内容

又见辣鸡化学题 | 一格,两格,搭梯子

在一年前,我信心满满地写下了一篇有机大题攻略。

辣 鸡 化学题 | 一切为了蜜蜂

我甚至在和别人押题的时候透露了自己的观察:2019 年考,2020 年肯定考!就这样,我在四月时信心满满地踏上了考场,并成功被自己的押题技巧折服……然后,白给。

当然,这不影响我的获奖和不错的全国排名。但一道题目全部白给,给我留下了深深的阴影。于是,一年后,我重新拾起了这道题目,在一番研究后,发现它的难度相比 2019 年,的确要简单不少。希望我分析完题目后,你也能有同感。

(如果你是大佬,不要鄙视我在这种题目上白给)

本题来自 UKChO 2020。题目:

前半道题补充了一点关于厌氧氨氧化菌的背景,做了一些有趣的热身题。但那些只是障眼法,真正的核心只在最后一小问。所以我们直接快进到路径推导部分。

今年的题目回归古朴的一页一路径的考法,只要一步步地耐心推导即可,相比前两年数个路径并行的题目来说,难度降低,但全部白给的几率也变大。我们按考试的思路,一个一个来。

我们从一个羧酸酐(也就是两个羧基脱水后形成的那个五元环)开始。第一步加入氢化铝锂——这应当成为本能,是还原反应。氢化铝锂作为还原剂中的大哥,可以把几乎所有官能团氧化到它们的氧化态顶峰。

因此两个酯键都被氧化成一级醇。

A.

它的机理是个典型的亲核加成。但即使不知道机理,也可以直接套用氢化铝锂的还原特性。如果仍有纠结,可以联系它们的化学式:底物是 C6H6O3,产物是 C6H12O2,因此要还原三个官能团,正好是两个羰基和一个醚键。

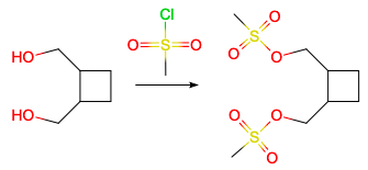
下一步:

加入了甲磺酰氯,这是个非常常见的甲磺酰化试剂,和羟基反应。同样,即使对甲磺酰氯特性不熟悉,通过对比化学式,也可以知道添加了两个 CH2O2S,正是两个甲磺基。

B.

这两步都完全可以通过对底物性质的了解得到,而不必明白它背后的机理。氢化铝锂、硼氢化钠为代表的还原剂,以及取代羟基用的甲磺酰氯,都已经是英国化奥的老面孔,需要能立刻反应出它们对应的反应。但接下来,就需要不少技巧了。

向 B 中加入硫化钠与乙醇。

这里正着想真是太难想了,但可以倒过来看。

路径推导 Rule of thumb

一个一个蒙,正着蒙不出来就倒着蒙

C 加入过氧化氢后,得到了一个硫氧双键。如果对杂环反应比较了解,就应当明白这里发生的是类似四氢噻吩被氧化的反应,过氧化氢会氧化硫原子,在上面再加一个氧原子,因此反推出 C 的结构。

C.

但为什么?为什么这两团甲磺基会缩成一个环?我查了一圈,才查到一个类似题中提到的路径:包含两个羟基的化合物,用甲磺酰氯和强碱甲磺化后,用硫化钠闭环。1

关于硫的机理,在往年从未如此重要——以前出现的甲磺酰氯,几乎都马上在下一步离去了,而不会进一步反应。得到 C 既需要不少积累,也需要一点运气与灵感。不过得不到它,也不影响后续推导。不要被它影响了心态。

继续反应,加入磺酰氯。

同样,有不止一种解题思路。磺酰氯是一种常见的氯化剂,因此猜到它在底物上添加了一个氯原子。

如果用质谱数据推 D 的分子质量,要注意到 68.3%+21.8%=90.1%68.3\% + 21.8\% = 90.1\%;剩下的 9.99.9%,可以猜是 165.00。这样算得 D 的平均分子质量为 164.01×0.683+165.00×0.099+166.00×0.218=164.54g/mol164.01×0.683 + 165.00×0.099 + 166.00×0.218 = 164.54\,\text{g/mol},而原物质的分子质量为 130.20g/mol130.20\,\text{g/mol},也可以推断出用一个 Cl (35.45)取代了一个 H (1.008)。

但这个氯原子取代在哪里?这需要一点对机理的认识。由于磺酰氯的氯化遵循自由基机理(和氯气很像;事实上,SO2Cl2 可以被认为是在反应中分解成了 SO2 和 Cl2。另一方面,亚磺酰氯 SOCl2 则提供的是氯离子,因此是亲核取代机理),而亚磺酰基(S=O)包含双键,是一个非常典型的自由基活化基团,因此,SO2Cl2 氯代时会选择靠近活化基团的烃基。

D.

如果对此没有了解,也可以简单记住,越远离杂原子,烃基越多的地方越稳定,越不会成为取代反应中心。

接下来,加入叔丁醇钾。

同时有一个剧透性质的提示:这是个强碱。因此我们不用考虑叔丁醇钾的具体性质,而只用把它当作一个碱来看待。(事实上,叔丁醇钾是比氢氧化钾还强的碱。)和叔丁醇钾同理的,还有 LDA,也是一个与世无争的碱。

二异丙基氨基锂(LDA),这玩意在前几年频频出现

碱最常见的作用就是脱质子,尤其是注意到此处生成负离子。原物质中的酸性碳只有亚磺酰基的两个 α-碳,在这里不大看得出哪个才是最终答案,因此姑且认为它们都是正确答案。

E.

顺带一提,生产中不使用氢氧化钠作为碱的原因,是为了避免发生取代反应。由于叔丁醇盐和 LDA 负离子的位阻特别大,不容易通过 SN2 反应取代氯,而只能作为碱催化消除反应。如果用氢氧化钠,就会有羟基取代氯原子。所以说叔丁醇“与世无争”。

氢氧根离子:体积微小,来去自如
叔丁醇盐:我挤不进去啊

接下来,这个负离子进一步自发反应。

提示是形成了三元环。分子内成环的反应,原物质又是个负离子,估计是亲核取代,由那个脱去质子后得到的孤对电子进攻一个缺电子中心。那么在上面提出的两种可能中,只有第一种能发生亲核取代。

F.

这样我们就同时得到了 E 和 F 的结构。

接下来,F 发生分解,放出了气体,剩下一个碳氢化合物。

X 气体式量 48.06g/mol48.06\,\text{g/mol} ,在满篇是硫的前提下很容易猜到是 SO 气体。但是你很可能不知道一氧化硫这东西的存在性——事实上,它仅作为反应副产物出现,很快就会二聚成 S2O2。教科书上唯一提到一氧化硫的地方,就是加热环乙亚砜,生成一氧化硫和乙烯。因此套用同样的反应机理,得到 G 和 X。

G & X.

而此处 G 甚至提供了两个提示:碳氢化合物,以及 C13 核磁谱。可以先用核磁谱验算一下,141.7ppm=C=C141.7\,\text{ppm} = \ce{C=C}44.1ppm=RX3X223CH44.1\,\text{ppm} = \ce{R^3CH}20.8ppm=RX2X222CHX220.8\,\text{ppm} = \ce{R^2CH2},正好对应。

接下来是铜催化的加成二聚反应,就有了最后的“梯烷”。

这么一条路径需要对不少反应有了解,比如氯化、亲核取代、亚砜受热分解等等。其实也可以倒推,通过最后的梯烷结构和“二聚反应”的提示应该可以得到 G 的结构(只要把产物对称地切成两块即可),X 也不难猜出,但究竟有多少人有水平据此反推出 F,却没有水平正着做出来,我表示怀疑。

还没有做完。后面一步,锰催化的氯化。

可以看到,后面的反应物都是在角上有个取代基,这个碳原子显然是在这一步被活化的,因此得到 H 的结构。

H.

接下来,继续加入叔丁醇钾。

但此处生成的是中性物质,因此不是简单的脱质子,而是消去反应,和中学学的氢氧化钠催化氯乙烷消去成乙烯的反应如出一辙。唯一要注意的是叔丁醇盐作为一个大位阻碱,它的消除反应符合霍夫曼规则,因此提供氢的是取代较少的碳,而不像扎伊采夫规则那样由取代较多的碳提供氢。

I.

又出现了一个 C13 核磁谱,这个核磁谱很复杂,不过一个双键的 140ppm140\,\text{ppm} 峰还是很明显的,可以验证消去反应的猜想。

在一顿合成连上了一条侧链后,加入了氟化氢。这里的那条波浪键表示不确定是顺式构型还是反式构型。

氟化氢与吡啶的络合物是一种专用的试剂,叫做 Olah 试剂。它是比纯氟化氢更安全的氟化剂。但我摊牌了:我不知道在有硅烃基的情况下,它到底是怎么反应的……所以我又去查了文献,找到了这个脱硅机理:2

用 HF-Py 体系,可以把 O-Si 键切断,变为 OH。这样得到 J。

J.

这实在是太勉强了。考试时,可能要么倒推(保证自己能根据三氧化铬的氧化性推出 K,知道碳链末端是个羟基,然后对比 J 的前体中双键的位置,综合出 J 的结构),要么只能靠蒙……

最后一个物质,镍催化的氢化反应,显然加成了双键,不解释。

K.

最后一步其实也可以作为考点的(如果通过倒推得到 K 那么的确是考点),酸性三氧化铬作为氧化剂,把羟基氧化成羧基。有同样作用的物质包括高锰酸钾、重铬酸钾等。

至此,我们完成了本题的推导。

本题难点可能在于是否有充足的时间钻研这道题。经过前五道题的磨练,很可能已经理智全无了。同时,题目对各种反应机理考察得非常全面,加成、消去、取代、氧化、还原都有涉及,关键就在于对每种反应的底物是否熟悉。许多机理可能比较陌生,如果一步误入歧途,就很难再爬出来了,所以一定要正推和反推结合。

今年许多中间产物都出现了元素,也考了几个硫相关的机理。因此,我大胆在考前押题,2021 年考化合物。如果押中……请看我继续白给。

参考资料


  1. Xu, Jiaxi. "Recent synthesis of thietanes." Beilstein journal of organic chemistry vol.16 1357-1410. 22 Jun. 2020, doi:10.3762/bjoc.16.116
  2. E. Ābele. "Recent advances in activation of silicon bonds by fluoride ion." Latvian Journal of Chemistry. No. 3 173-191. 2012, doi:10.2478/v10161-012-0014-y